The STDDEV function returns a numeric value that represents the amount of dispersion in the data. The set of data can be specified as the entire population or a sample. The standard deviation is the square root of the variance, which is a measure of how observations deviate from their expected value (mean). If specified as a population, the divisor in the standard deviation calculation (also called degrees of freedom) will be the total number of data points, N. If specified as a sample, the divisor will be N-1.
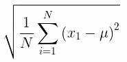
If x¡ is an observation, N is the number of observations, and µ is the mean of all of the observations, the formula for calculating the standard deviation for a population is:

To calculate the standard deviation for a sample, the mean is calculated using the sample observations, and the divisor is N-1 instead of N.
STDDEV(field, sampling)
where:
Numeric
Is the set of observations for the standard deviation calculation.
Keyword
Indicates the origin of the data set. Can be one of the following values.
STDDEV calculates the standard deviation of DOLLARS.
STDDEV(DOLLARS,S)
The result is 6,157.711080272.
| WebFOCUS | |
|
Feedback |